home portfolio about

Guess That Number System!

How It Works:

You get to see a list with the decimal notation next to it, and then have to guess what the rule for the numbers is.

[IMAGE] sorry this image didnt work, this could be a page error, web browser error or disability setting, this page will not be understandable without image context, my apologies

try to figure out how it works before looking at the answer

wikipedia - Numeral system


As a refresher:

Classic number bases behave as follows, though not all systems shown will fit this mould

[IMAGE] sorry this image didnt work, this could be a page error, web browser error or disability setting, this page will not be understandable without image context, my apologies

wikipedia - Positional notation






System l

[IMAGE] sorry this image didnt work, this could be a page error, web browser error, or disability setting. this page will not be understandable without image context, my apologies






System l.

[IMAGE] sorry this image didnt work, this could be a page error, web browser error, or disability setting. this page will not be understandable without image context, my apologies






System C

[IMAGE] sorry this image didnt work, this could be a page error, web browser error, or disability setting. this page will not be understandable without image context, my apologies






System 10000

[IMAGE] sorry this image didnt work, this could be a page error, web browser error, or disability setting. this page will not be understandable without image context, my apologies






System 101

[IMAGE] sorry this image didnt work, this could be a page error, web browser error, or disability setting. this page will not be understandable without image context, my apologies






System l-o

[IMAGE] sorry this image didnt work, this could be a page error, web browser error, or disability setting. this page will not be understandable without image context, my apologies






System 1000

[IMAGE] sorry this image didnt work, this could be a page error, web browser error, or disability setting. this page will not be understandable without image context, my apologies






System 110

[IMAGE] sorry this image didnt work, this could be a page error, web browser error, or disability setting. this page will not be understandable without image context, my apologies






System 4.1

[IMAGE] sorry this image didnt work, this could be a page error, web browser error, or disability setting. this page will not be understandable without image context, my apologies






System 10202

[IMAGE] sorry this image didnt work, this could be a page error, web browser error, or disability setting. this page will not be understandable without image context, my apologies






System ~101.0110

[IMAGE] sorry this image didnt work, this could be a page error, web browser error, or disability setting. this page will not be understandable without image context, my apologies






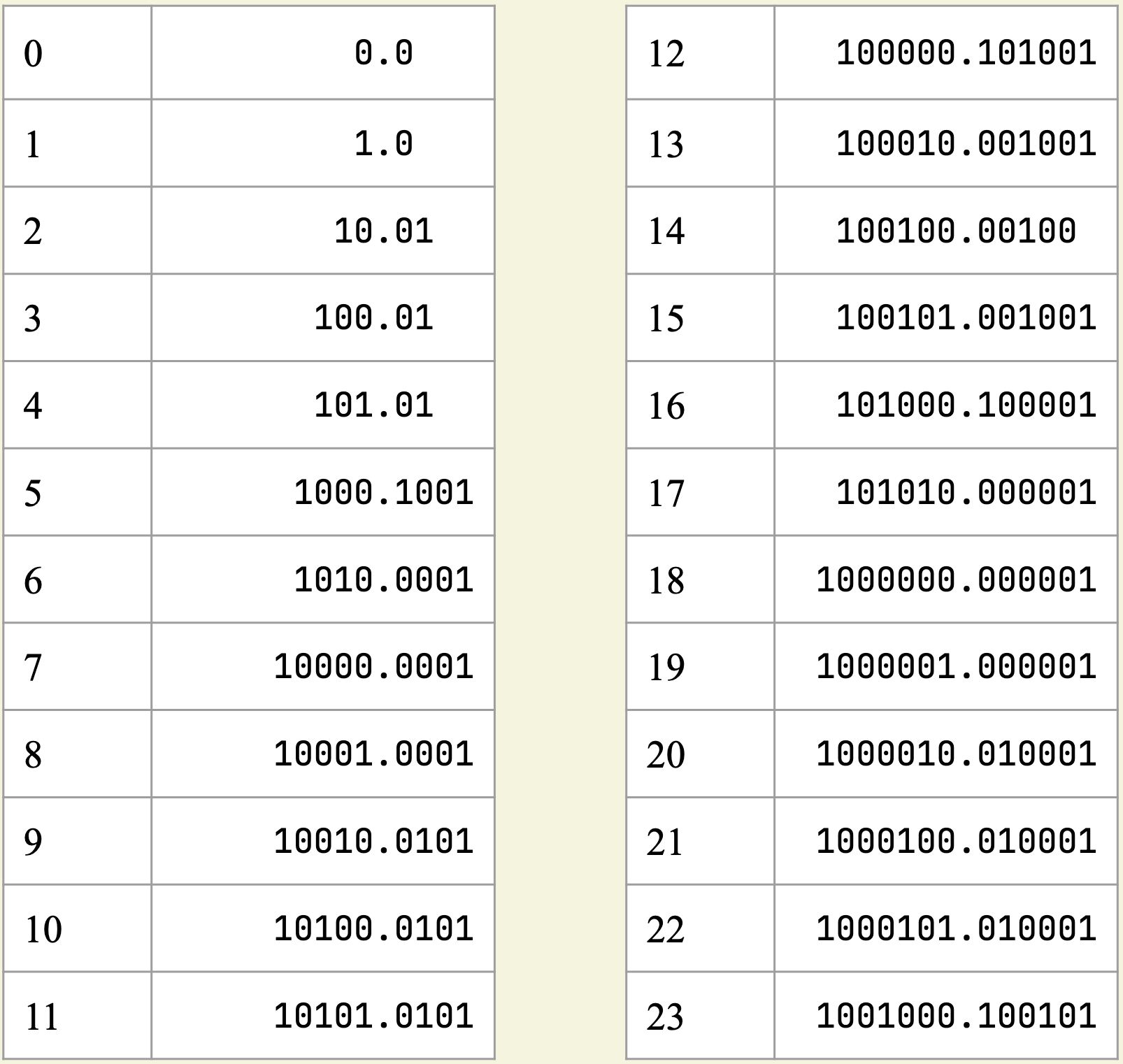
System 100000.101001

[IMAGE] sorry this image didnt work, this could be a page error, web browser error, or disability setting. this page will not be understandable without image context, my apologies






Thanks for playing!